GLBB, GERAK JATUH BEBAS DAN GERAK VERTIKAL

 Gerak Lurus Berubah Beraturan (GLBB)

Gerak Lurus Berubah Beraturan (GLBB) adalah gerakan benda yang linear berarah mendatar (Gerak Lurus) dengan kecepatan yang berubah setiap saat karena adanya percepatan yang tetap (Berubah Beraturan).

Pada gerak lurus berubah beraturan, gerak benda dapat mengalami percepatan jika nilai percepatan positif, atau perlambatan jika nilai percepatan negatif. Gerak benda yang mengalami percepatan disebut GLBB dipercepat, sedangkan gerak yang mengalami perlambatan disebut GLBB diperlambat.

Percepatan merupakan besaran vektor (besaran yang mempunyai besar dan arah). Percepatan konstan berarti besar dan arah percepatan selalu konstan setiap saat. Walaupun besar percepatan suatu benda tetap, jika arah percepatan berubah maka percepatan benda tersebut tidak dapat dikatakan konstan. Karena arah percepatan benda selalu konstan, maka benda pasti bergerak pada lintasan lurus.

 

Grafik GLBB

Grafik kecepatan terhadap waktu dari gerakan GLBB dan gerakan yang tidak berubah terdapat pada gambar di bawah ini.

Pada grafik ( I ) gerak benda dipercepat secara beraturan, sedangkan pada grafik ( III ) gerak benda diperlambat secara beraturan. Grafik ( II ) menunjukkan gerak beraturan dimana kecepatannya tidak berubah. Grafik (I) dan (III) menunjukkan GLBB, sedangkan gambar (II) kecepatan benda tidak berubah maka termasuk dalam GLB.


Rumus GLBB

Terdapat 3 rumus dasar GLBB yaitu :

Keterangan:


GLBB Akibat Gravitasi

Pengaruh gaya gravitasi yang menimbulkan percepatan gravitasi terhadap pergerakan benda adalah salah satu aplikasi GLBB. Terdapat tiga jenis GLBB yang dipengaruhi gravitasi, yaitu gerak jatuh bebas, gerak vertikal ke bawah, dan gerak vertikal ke atas.

 

Gerak jatuh bebas

Gerak jatuh bebas adalah gerak benda yang jatuh dari suatu ketinggian tanpa kecepatan awal.

Dimana :

Vt  = kecepatan saat t sekon (m/s)
g   = percepatan gravitasi bumi (9,8 m/s2)
h   = jarak yang ditempuh benda (m)
t    = selang waktu (s)


Gerak Vertikal ke Atas

Gerak vertikal ke atas adalah gerak suatu benda yang dilempar vertikal ke atas dengan kecepatan awal tertentu (V0) dan percepatan g saat kembali turun. Rumus gerak vertikal ke atas adalah sebagai berikut.

Dimana :

h   = jarak/perpindahan (m)
V0 = kecepatan awal (m/s)
Vt  = kecepatan setelah t (m/s)
g   = percepatan gravitasi (9,8 m/s2)
t    = selang waktu (s)

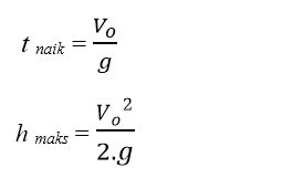
Di titik tertinggi benda, kecepatan benda adalah nol. Berdasarkan keterangan tersebut, maka persamaan gerak vertikal ke atas yang berlaku di titik tertinggi tersebut adalah sebagai berikut.

Dimana :

tnaik  = selang waktu dari titik pelemparan hingga mencapai titik tertinggi (s)
v0       = kecepatan awal (m/s)
g        = percepatan gravitasi (m/s2)
hmaks  = jarak yang ditempuh hingga titik tertinggi (m)

Saat mulai turun, persamaannya sama seperti gerak jatuh bebas. Rumusnya adalah :

Dimana :

t turun = selang waktu dari titik tertinggi hingga ke titik terendah (s)

Jadi, dapat disimpulkan bahwa waktu saat naik sama dengan waktu saat turun apabila tidak ada gaya lain yang memengaruhi benda tersebut.

 

Gerak Vertikal ke Bawah

Gerak Vertikal ke bawah adalah gerak suatu benda yang dilemparkan vertikal ke bawah dengan kecepatan awal dan dipengaruhi oleh percepatan. Rumus-rumus gerak vertikal ke bawah adalah sebagai berikut.

Dimana :

h   = jarak/perpindahan (m)
V0 = kecepatan awal (m/s)
V = kecepatan setelah t (m/s)
g   = percepatan gravitasi (9,8 m/s2)
t    = selang waktu (s)

Komentar

Postingan populer dari blog ini

BESARAN, SATUAN, DIMENSI DAN PENGUKURAN